Beranda
/ Sebuah Trafo Step Up Mengubah Tegangan 20 Volt Menjadi 160 Volt / Kumpulan Soal Uan Dan Umptnspmbsnmptn Httpcandrapetra / Jika efisiensi trafo tersebut 75% dan kumparan sekundernya dihubungkan ke lampu 160 volt 60 watt.
Sebuah Trafo Step Up Mengubah Tegangan 20 Volt Menjadi 160 Volt / Kumpulan Soal Uan Dan Umptnspmbsnmptn Httpcandrapetra / Jika efisiensi trafo tersebut 75% dan kumparan sekundernya dihubungkan ke lampu 160 volt 60 watt.
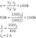
Sebuah Trafo Step Up Mengubah Tegangan 20 Volt Menjadi 160 Volt / Kumpulan Soal Uan Dan Umptnspmbsnmptn Httpcandrapetra / Jika efisiensi trafo tersebut 75% dan kumparan sekundernya dihubungkan ke lampu 160 volt 60 watt.. Jika efisiensi trafo itu 75% dan kumparan sekundernya dihubungkan ke lampu 160 v, 60 w, kuat arus dalam kumparan primernya. Untuk lebih jelasnya, perhatikan contoh soal trafo dan pembahasannya dibawah ini. Jika efisiensi trafo tersebut 75% dan kumparan sekundernya dihubungkan ke lampu 160 volt 60 watt. Transformator ideal dengan lilitan np dan ns dan arusnya ip dan is maka. Bergantung pada fungsinya, transformator diklasifikasikan menjadi 2 yaitu.
Sebuah trafo step up mengubah tegangan 20 volt menjadi 160 volt. Diketahui sebuah trafo dengan 1000 lilitan primer dan 200 lilitan sekunder. Transformator memiliki dua kumparan yang melilit sebuah inti besi yang berguna sebagai penguat medan magnet. Primer yang mempunyai 1000 lilitan. Sebuah transformator adalah perangkat yang mengubah (transformasi) potensial tegangan bolak balik ( ac ) dari satu nilai ke nilai lain menjadi lebih kecil atau lebih besar dengan menggunakan prinsip induksi elektromagnetik.
Pdf Analysis Of Age Transformer Due To Annual Load Growth In 20 Kv Distribution Network from i1.rgstatic.net Jika lilitan primer dihubungkan dengan tegangan 600 volt maka besar tegangan lilitan sekunder adalah…. Cara menaikan tegangan trafo sebetulnya sangatlah mudah. Jika efisiensi transformator 80% dan kumparan sekunder dihubungkan dengan lampu 50w, 220 v, maka kuat arus kumparan primer adalah. Diketahui sebuah trafo dengan 1000 lilitan primer dan 200 lilitan sekunder. Jika efisiensi trafo tersebut 75% dan kumparan sekundernya dihubung. Tegangan masuk pada sisi primer adalah 120 volt. Efisiensi trafo = 80% = 0,8. Tv, komputer, mesin foto kopi, gardu listrik dan sebagainya.
Jika efisiensi trafo itu 80% dan kumparan sekundernya dihubungkan dengan lampu 250 volt 50 watt, tentukan arus dalam kumparan primer.
Transformator memiliki dua kumparan yang melilit sebuah inti besi yang berguna sebagai penguat medan magnet. Menerapkankonsep kelistrikan dalam berbagai penyelesaian masalah dan berbagai produk teknologi. Kita ingin mengubah tegangan ac 220. Tegangan masuk pada sisi primer adalah 120 volt. Tv, komputer, mesin foto kopi, gardu listrik dan sebagainya. Diketahui sebuah trafo dengan 1000 lilitan primer dan 200 lilitan sekunder. Transformator bekerja dengan menambah atau mengurangi tegangan berdasarkan kebutuhan mesin. Hari monday, february 8, 2016 elektronika dasar. Tegangan ac dan dc arus dc (direct current) adalah arus yang yang arahnya selalu mengalir dalam satu arah. Trafo atau transformator sendiri adalah sebuah peratalan listrik yang datap mengubah taraf tegangan ac ke taraf lainnya. Mengubah tegangan 20 volt menjadi. Contoh resensi cerpen lengkap dari banyak sekali aspek Misalnya saja listrik rumah bertegangan 220v sedangkan kebetulan kita punya peralatan listrik yang membutuhkan tegangan 110v, kita dapat menggunakan alat ini untuk bisa mendapatkan tegangan 110v sesuai dengan kebutuhan peralatan listrik yang kita miliki.
Jika efisiensi trafo tersebut 75% dan kumparan sekundernya dihubung. Contoh soal perhitungan pada trafo. Trafo tersebut memiliki voltase output pilihan sebanyak 2 macam, yakni 20 volt dan 40 volt. Sebuah trafo step up mengubah tegangan 20 volt menjadi 160 volt. Contoh alat listrik yang memerlukan transformator adalah:
Destinasi Fisika Chapter 08 Induksi Elektromagnetik from 2.bp.blogspot.com Contoh trafo bisa kita lihat pada tiang listrik. Di dalam transformator (trafo) terdapat dua buah kumparan atau lilitan yaitu kumparan primer dan kumparan sekunder. Di dunia kelistrikan transformator step up memiliki fungsi untuk distribusi dan transmisi listrik pln ke berbagai lokasi yang jauh. Rumus transformator beserta contoh soalnya. Bergantung pada fungsinya, transformator diklasifikasikan menjadi 2 yaitu. Diketahui sebuah trafo memiliki kumparan primer sebanyak 300 lilitan, tegangan primer 12 volt, tegangan sekunder 120 volt dan arus primer sebesar 0.6 ampere. Trafo tersebut memiliki voltase output pilihan sebanyak 2 macam, yakni 20 volt dan 40 volt. Sebuah trafo step up mengubah tegangan 20 volt menjadi 160 volt.
Perbandingan jumlah lilitan primer dan sekunder sebuah trafo 1:
Listrik dinamis standar kompetesi : Di dunia kelistrikan transformator step up memiliki fungsi untuk distribusi dan transmisi listrik pln ke berbagai lokasi yang jauh. Volt menjadi 110 volt dengan suatu. Sebuah trafo pada radio portable di rumah menurunkan tegangan dari 220 v menjadi 9 v, kumparan skunder mengandung 30 lilitan. Di dalam transformator (trafo) terdapat dua buah kumparan atau lilitan yaitu kumparan primer dan kumparan sekunder. Contoh trafo bisa kita lihat pada tiang listrik. Prinsip kerja trafo step up dan step down. Contoh alat listrik yang memerlukan transformator adalah: Kita ingin mengubah tegangan ac 220. Primer yang mempunyai 1000 lilitan. Jika efisiensi trafo 80%, maka tentukan arus primernya! Jika lilitan primer dihubungkan dengan tegangan 600 volt maka besar tegangan lilitan sekunder adalah…. Transformator bekerja dengan menambah atau mengurangi tegangan berdasarkan kebutuhan mesin.
Menerapkankonsep kelistrikan dalam berbagai penyelesaian masalah dan berbagai produk teknologi. Transformator ideal dengan lilitan np dan ns dan arusnya ip dan is maka. Trafo step up / step down. Contoh soal perhitungan pada trafo. Perbandingan jumlah lilitan sekunder dan primer adalah.
Soal Latihan Transformator Brainly Masnurul from image.slidesharecdn.com Jika lilitan primer dihubungkan dengan tegangan 600 volt maka besar tegangan lilitan sekunder adalah…. Jika efisiensi transformator 80% dan kumparan sekunder dihubungkan dengan lampu 50w, 220 v, maka kuat arus kumparan primer adalah. Jika kita memerlukan trafo 20 volt atau 40 volt, maka kita cukup mengambil dari titik 0 menuju ke titik 20 volt. 5 jika vp = 200 volt dan daya outputnya 1500 watt maka tentukan arus outputnya! Efisiensi trafo = 80% = 0,8. Prinsip kerja trafo step up dan step down. Jika efisiensi trafo itu 75% dan kumparan sekundernya dihubungkan ke lampu 160 v, 60 w, kuat arus dalam kumparan primernya. Tv, komputer, mesin foto kopi, gardu listrik dan sebagainya.
Jika efisiensi trafo itu 80% dan kumparan sekundernya dihubungkan dengan lampu 250 volt 50 watt, tentukan arus dalam kumparan primer.
Demikian juga halnya dengan 40 volt. Menurut teori, dalam mengalirkan listrik yang besar dalam megawatt (jutaan watt) sangat diperlukan sebuah penghantar yaitu sebuah kabel tembaga yang memiliki ukuran besar. Kita ingin mengubah tegangan ac 220. Soal 1 sebuah trafo step up mengubah tegangan 20 volt menjadi 160 volt. Trafo atau transformator sendiri adalah sebuah peratalan listrik yang datap mengubah taraf tegangan ac ke taraf lainnya. Transformatorlah yang akan mengubah (transform) listrik rumah yang besarnya 110 volt menjadi hanya 80 volt. Bergantung pada fungsinya, transformator diklasifikasikan menjadi 2 yaitu. Rasio atau perbedaan jumlah lilitan pada kumparan primer dan sekunder inilah yang menentukan apakah sebuah transformator tersebut adalah trafo step up atau trafo step down dan juga sebagai penentu taraf tegangan yang dihasilkannya. Sebuah transformator adalah perangkat yang mengubah (transformasi) potensial tegangan bolak balik ( ac ) dari satu nilai ke nilai lain menjadi lebih kecil atau lebih besar dengan menggunakan prinsip induksi elektromagnetik. Sebuah trafo step up mengubah tegangan 20 volt menjadi 160 volt. Jumlah lilitan primer lebih kecil daripada jumlah lilitan sekunder (np<ns). Prinsip kerja trafo step up dan step down. Jika efisiensi trafo tersebut 75% dan kumparan sekundernya dihubungkan ke lampu 160 volt 60 watt.
Berbagi
Posting Komentar
untuk "Sebuah Trafo Step Up Mengubah Tegangan 20 Volt Menjadi 160 Volt / Kumpulan Soal Uan Dan Umptnspmbsnmptn Httpcandrapetra / Jika efisiensi trafo tersebut 75% dan kumparan sekundernya dihubungkan ke lampu 160 volt 60 watt."
Posting Komentar untuk "Sebuah Trafo Step Up Mengubah Tegangan 20 Volt Menjadi 160 Volt / Kumpulan Soal Uan Dan Umptnspmbsnmptn Httpcandrapetra / Jika efisiensi trafo tersebut 75% dan kumparan sekundernya dihubungkan ke lampu 160 volt 60 watt."